Review Articles
Vol. 4 No. 1 (2012): Reviews, Articles, Case Reports and Letters
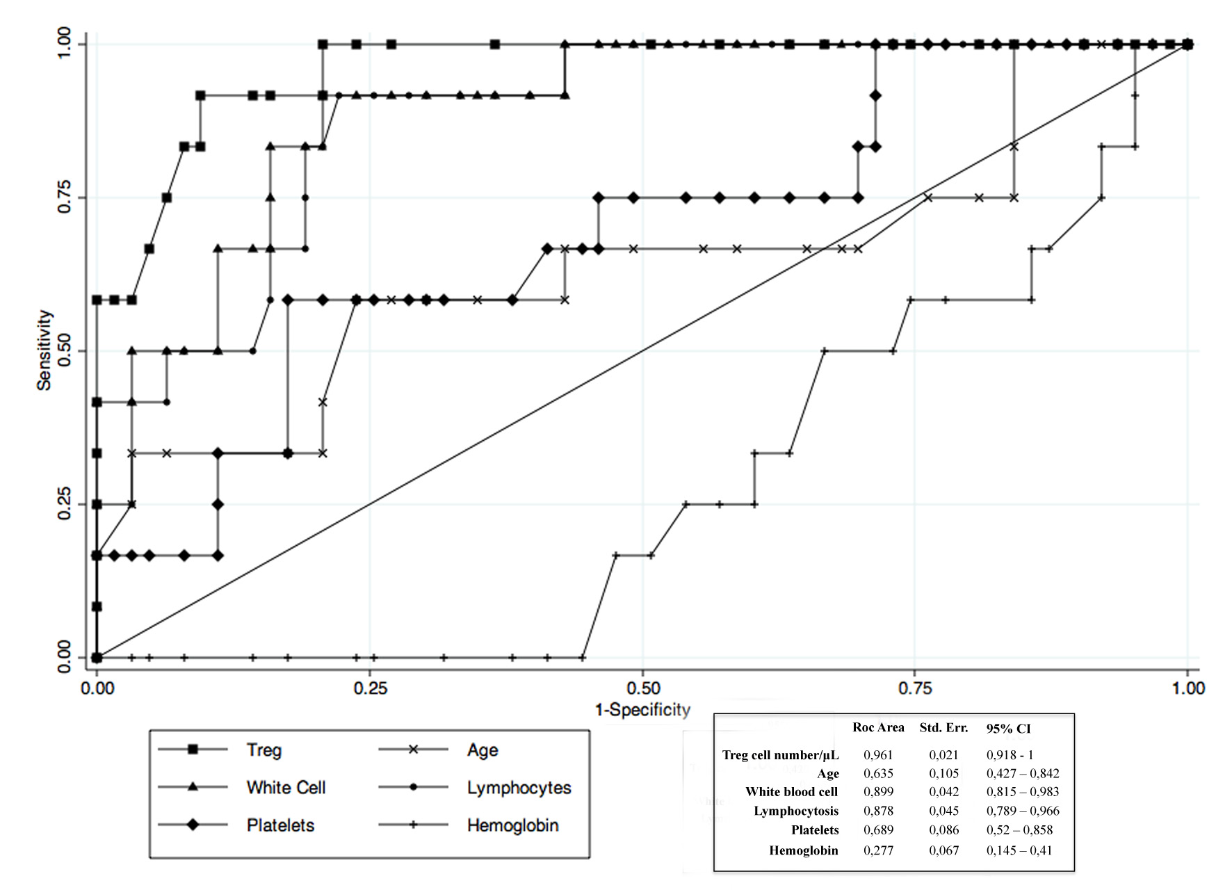
REGULATORY T-CELLS IN CHRONIC LYMPHOCYTIC LEUKEMIA
Publisher's note
All claims expressed in this article are solely those of the authors and do not necessarily represent those of their affiliated organizations, or those of the publisher, the editors and the reviewers. Any product that may be evaluated in this article or claim that may be made by its manufacturer is not guaranteed or endorsed by the publisher.
All claims expressed in this article are solely those of the authors and do not necessarily represent those of their affiliated organizations, or those of the publisher, the editors and the reviewers. Any product that may be evaluated in this article or claim that may be made by its manufacturer is not guaranteed or endorsed by the publisher.
Published: August 9, 2012
9855
Views
1652
Downloads
7604
HTML






