Original Articles
Vol. 8 (2016): Review, Original Articles, Case Reports
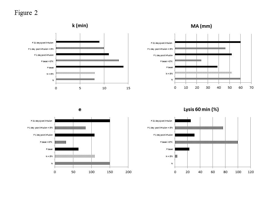
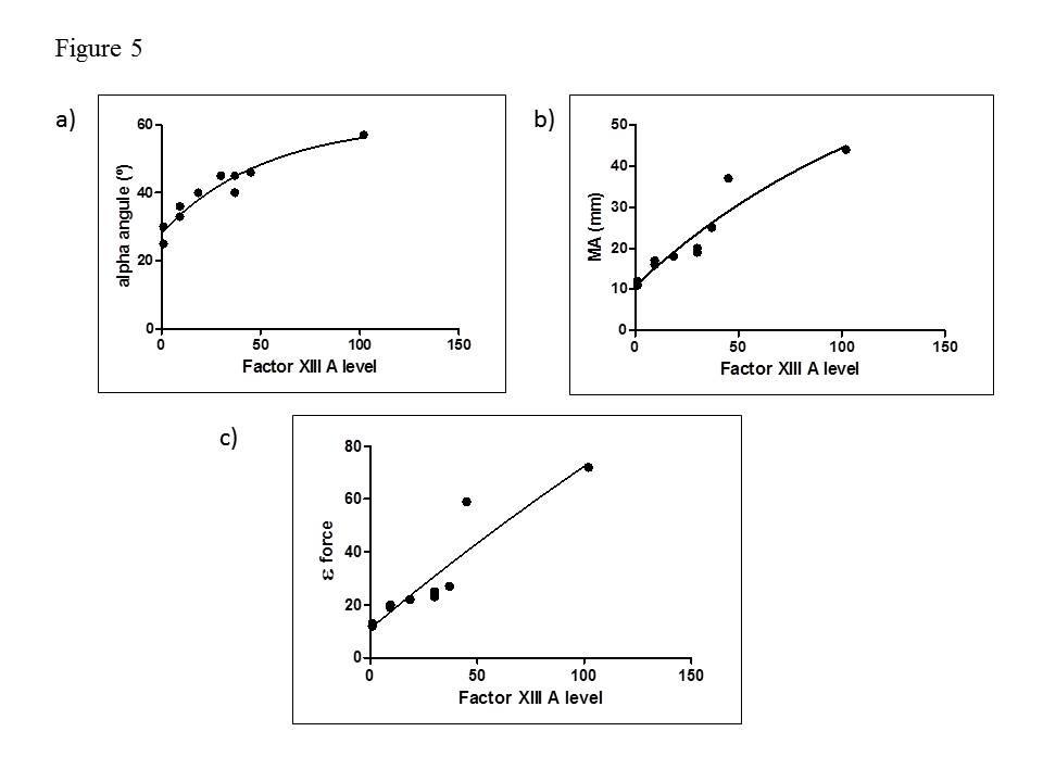
EFFECTS OF FACTOR XIII DEFICIENCY ON THROMBOELASTOGRAPHY. THROMBELASTOGRAPHY WITH CALCIUM AND LYSIS BY ADDITION OF STREPTOKINASE IS MORE SENSITIVE THAN SOLUBILITY TESTS
Publisher's note
All claims expressed in this article are solely those of the authors and do not necessarily represent those of their affiliated organizations, or those of the publisher, the editors and the reviewers. Any product that may be evaluated in this article or claim that may be made by its manufacturer is not guaranteed or endorsed by the publisher.
All claims expressed in this article are solely those of the authors and do not necessarily represent those of their affiliated organizations, or those of the publisher, the editors and the reviewers. Any product that may be evaluated in this article or claim that may be made by its manufacturer is not guaranteed or endorsed by the publisher.
Received: February 26, 2016
Accepted: July 5, 2016
Accepted: July 5, 2016
4995
Views
1722
Downloads
1886
HTML






